Ответы
Ответ дал:
0
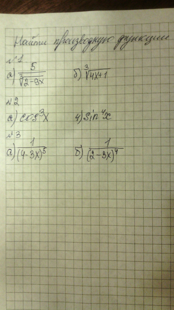
1a) y' = 5*(-1/3)*((2 - 9x)^(-1/3 - 1))*(-9)= 15/(2 - 9x)^(-4/3)
1b) y' = 3*(-1/2)*((4x + 1)^(-1/2 - 1))*4 = -6/(4x + 1)^(1.5)
2a) y' = 3cos^2(x)*(-sinx) = -(2cosx*sinx)*1.5cosx = -1.5cosx*sin(2x)
2b) y' = 4sin^3(x)*cosx = (2sinx*cosx)*2sin^2(x) = 2sin(2x)*sin^2(x)
3a) y' = -5*(4 - 3x)^(-6) * (-3) = 15/(4 - 3x)^6
3b) y' = -4*(2 - 3x)^(-5) * (-3) = 12/(2 - 3x)^5
1b) y' = 3*(-1/2)*((4x + 1)^(-1/2 - 1))*4 = -6/(4x + 1)^(1.5)
2a) y' = 3cos^2(x)*(-sinx) = -(2cosx*sinx)*1.5cosx = -1.5cosx*sin(2x)
2b) y' = 4sin^3(x)*cosx = (2sinx*cosx)*2sin^2(x) = 2sin(2x)*sin^2(x)
3a) y' = -5*(4 - 3x)^(-6) * (-3) = 15/(4 - 3x)^6
3b) y' = -4*(2 - 3x)^(-5) * (-3) = 12/(2 - 3x)^5
Вас заинтересует
3 года назад
3 года назад
8 лет назад
10 лет назад
10 лет назад