• Предмет: Алгебра
  • Автор: Sweet099
  • Вопрос задан 11 лет назад

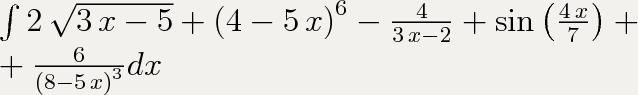
Помогите пожалуйста решить

 

Приложения:

Ответы

Ответ дал: Гоша68
0

все интегралы табличные, привел их в файле

Вас заинтересует