• Предмет: Алгебра
  • Автор: Oogorod
  • Вопрос задан 11 лет назад

е)6у+7 +8-5у =5            ж)х+1 - х-1 = 2 - х+3

      4       3                         9        6           2

 

з)у³+3у²-у-3=0       и)4х⁴-9 =0

Ответы

Ответ дал: Infiniti34
0

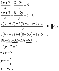
е) переносим 5 за знак "=" с противоположным знаком и приводим к общему знаминателю 12

3(6y+7)+4(8-5y)-12*5=0 (знаминатель 12)

18y+21+32-20y-60=0 (знаминатель уже можно не писать)

-2y=-7

y=-7/-2

y=3.5

ж)  переносим за знак   "=" и приводим к общему знаминателю 18

     2(x+1)-3(x-1)-2*18+9(x+3)=0

     2x+2-3x+3-36+9x+27=0

     8x=4

     x=4/8

    x=1/2 

Ответ дал: Аноним
0

Решение во вложении. Обращайтесь

Приложения:
Вас заинтересует