• Предмет: Алгебра
  • Автор: zНезнайкАz
  • Вопрос задан 11 лет назад

Посмотрите!!!!Скоро экзамен, а я неготов! ;(

Приложения:

Ответы

Ответ дал: ATLAS
0

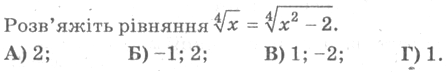
Решение:

x=x^2-2

x^2-x-2=0

x1=-1, x2=2

Находим область допустимых значений:

x>=0    x^2-2>=0

           (x-sqrt{2})(x+sqrt{2})>=0

           x>=sqrt{2}

В эту область входит только один из полученных нами ответов х=2

Ответ: 2

      

Вас заинтересует