Ответы
Ответ дал:
0
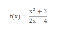
f(штрих)x=((x^2+3)/(2x-4))штрих=((х^2+3)штрих*(2х-4)-(х^2+3)(2x-4)штрих)/(2х-4)^2=(2x^3*(2x-4)-(x^2+3)*2x^2)/(2x-4)^2=(4x^4-8x^3-2x^4+6x^2)/(2x-4)^2=(2x^4-8x^3-6x^2)/(2x-4)^2
(2x^4-8x^3-6x^2)/(2x-4)^2=0
2x^4-8x^3-6x^2=0 или (2x-4)^2=0
(2x^4-8x^3-6x^2)/(2x-4)^2=0
2x^4-8x^3-6x^2=0 или (2x-4)^2=0
Вас заинтересует
8 лет назад
8 лет назад
10 лет назад
10 лет назад
11 лет назад
11 лет назад