Ответы
Ответ дал:
0
1) у=2,х=1
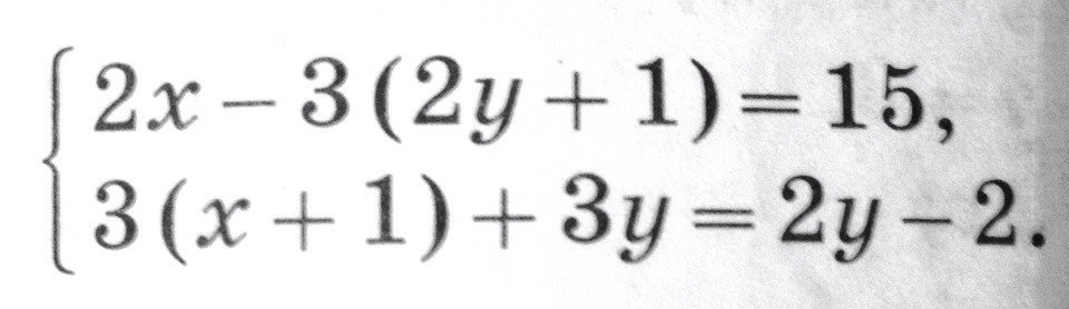
2)2х-3(2у+1)=15
2х-6у-3=15
2х-6у=18
х-3у=9
3(х+1)+3у=2у-2
3х+3+3у=2у-2
3х+у= -5
у= -5-3х
х-3(-5-3х)=9
х+15+9х=9
10х= -6
х=-0,6
3*-0.6+у=-5
-1.6+у=-5
у=-3.4
2)2х-3(2у+1)=15
2х-6у-3=15
2х-6у=18
х-3у=9
3(х+1)+3у=2у-2
3х+3+3у=2у-2
3х+у= -5
у= -5-3х
х-3(-5-3х)=9
х+15+9х=9
10х= -6
х=-0,6
3*-0.6+у=-5
-1.6+у=-5
у=-3.4
Вас заинтересует
3 года назад
3 года назад
8 лет назад
11 лет назад