Ответы
Ответ дал:
0
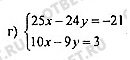
{25x-24y=-21 домножаем на -2
{10x-9y=3 домножаем на 5
{-50x+48y=42
{50x-45y=15
_____________
3у=57
у=57:3
у=19
10х-9*19=3
10х-171=3
10х=171+3
10х=174
х=174:10
х=17,4
Ответ: (17,4;19)
{10x-9y=3 домножаем на 5
{-50x+48y=42
{50x-45y=15
_____________
3у=57
у=57:3
у=19
10х-9*19=3
10х-171=3
10х=171+3
10х=174
х=174:10
х=17,4
Ответ: (17,4;19)
Вас заинтересует
3 года назад
3 года назад
8 лет назад
8 лет назад
10 лет назад
10 лет назад