• Предмет: Алгебра
  • Автор: loyaaaaa
  • Вопрос задан 10 лет назад

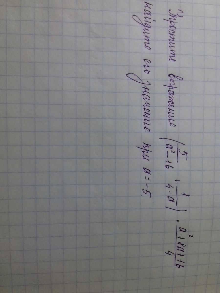
алгебра 8 класс
пожалуйста

Приложения:

Ответы

Ответ дал: aitechbibov01
0
( frac{5}{a^2-16}+ frac{1}{4-a})* frac{a^2+8a+16}{4}=( frac{5}{9}+ frac{1}{9})* frac{25-40+16}{4}= frac{2}{3}* frac{1}{4}= frac{1}{6}
Ответ дал: mmb1
0
==================================
Приложения:
Вас заинтересует