• Предмет: Математика
  • Автор: Sabanchino
  • Вопрос задан 10 лет назад

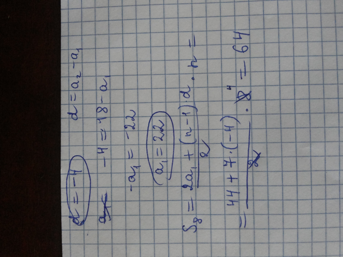
Дана арифметическая прогрессия (An) в которой а2=18,,а3=14 найдите: 1)первый член и разность прогрессии 2)сумму первых 8 членов прогрессии

Ответы

Ответ дал: djamikity97
0
Арифметическая прогрессия , думаю формулы писать не нужно
Приложения:
Вас заинтересует