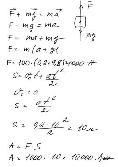
Подъёмный кран в течении 10 секунд поднимает с земли груз массой 100кг с ускорением 0,2 м/с. Определить работу, совершённую по подъёму груза
Ответы
Ответ дал:
0
решение задачи в прикрепленном рисунке
А=FS
А=1000*10=10000Дж
Приложения:
Вас заинтересует
3 года назад
3 года назад
8 лет назад
8 лет назад
11 лет назад
11 лет назад
11 лет назад
11 лет назад