• Предмет: Физика
  • Автор: Маша59
  • Вопрос задан 11 лет назад

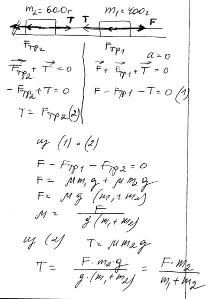
На гладком столе лежат два связанных невесомой и нерастяжимой ниткой бруска с массами 400г и 600г.К первому бруску преложена горизонтальная сила 2Н.Определите силу натяжения нити.

Ответы

Ответ дал: rusakovwn
0

решение задачи в прикрепленном рисунке

Т=(2*0,6)/(0,4+0,6)=1,2 Н

Приложения:
Вас заинтересует