• Предмет: Алгебра
  • Автор: Katerina1902
  • Вопрос задан 10 лет назад

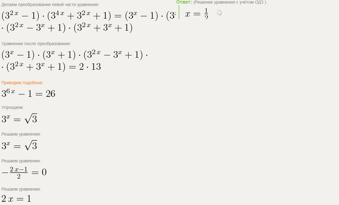
(3^(2x)-1)*(3^(4x)+3^(2x)+1)=26

Ответы

Ответ дал: RainbowEnot
0
Ответ 1/2, решение ниже смотри 
Приложения:
Вас заинтересует