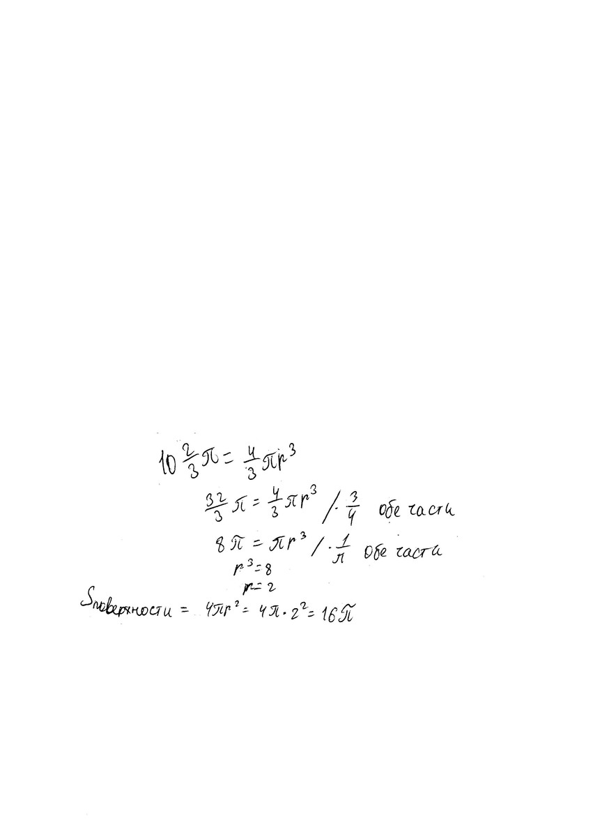
Найти площадь сферы, ограничивающей шар, объем которого равен 10 23 пи см в кубе( 10 целых две третьих пи см в кубе)СРОЧНО
Ответы
Ответ дал:
0
Смотри во вложении. Должно быть понятно.
Приложения:

Вас заинтересует
2 года назад
7 лет назад
7 лет назад
10 лет назад