• Предмет: Алгебра
  • Автор: JUl2012
  • Вопрос задан 11 лет назад

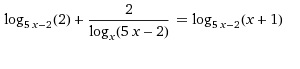
решить логарифмическое уравнение

Приложения:

Ответы

Ответ дал: Sklifasik
0

Итак. Нам сначала надо написать ОДЗ: 5x-2>0, 5x-2<>1, x<>1, x>0, x+1>0

Решив систему и получив интервалы мы приведем уравнение к одному основанию (5x-2)

 

Теперь полученное уравнение о сумме логарифмов равна произведению подлогарифмического выражения получим уравнение.

log_{5x-2}(2x^2)=log_{5x-2}(xoplus1)

Опустим основанеи и получим квадратное уравнение. 2x^2-x-1=0. Решив его получим два корня 1 и -1/2/ Оба не удовлетворяют условиям. Поэтому корней нет. на теории же некоторые программы считают что корень есть и равен 1, но уравнение теряет смысл.

Ответ: корней нет

Вас заинтересует