• Предмет: Математика
  • Автор: dimagluh
  • Вопрос задан 10 лет назад

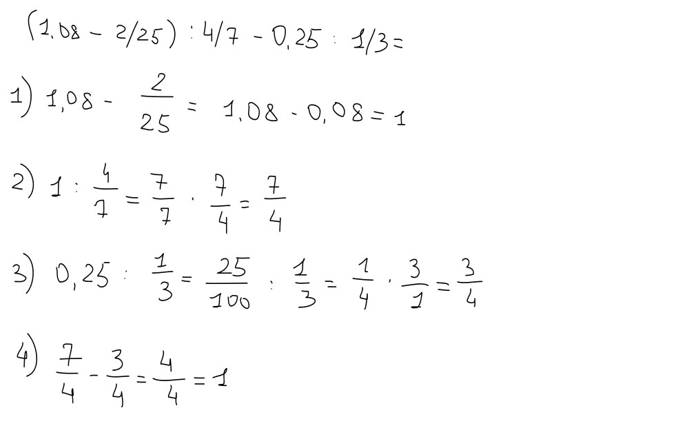
(1,08-2/25):4/7-0,25:1/3 пожалуйста решите по действиям а не просто ответ)Заранее спасибо)

Ответы

Ответ дал: avfrolova1
0
Ответ добавила во вложение. Там все по пунктам расписано.
Приложения:
Вас заинтересует