• Предмет: Алгебра
  • Автор: dimak199
  • Вопрос задан 11 лет назад

Не могли ли вы объяснить как получился такой ответ

Приложения:

Ответы

Ответ дал: GREENDEY
0

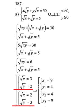
Если непонятно ,  начиная с подчеркнутого, то первая система совокупности решается так:

 

        { √х = 3     (возводим в квадрат обе чисти ур-ния)         

        {√у = 2      (аналогично)    

         

        { (√х)² = 3²

        { (√у)² = 2²

 

        { х = 9

        { у = 4

 

Вторая система:

        { √х = 2     (возводим в квадрат обе чисти ур-ния)         

        {√у = 3    (аналогично)   

 

        { (√х)² = 2²

        { (√у)² = 3² 

 

        { х = 4

        { у = 9

 

Т.о.  получается совокупность двух решений:   (9;4)   и   (4;9)

 

 

Ответ:  (9;4),   (4;9).

 

 

 

Вас заинтересует