Ответы
Ответ дал:
0
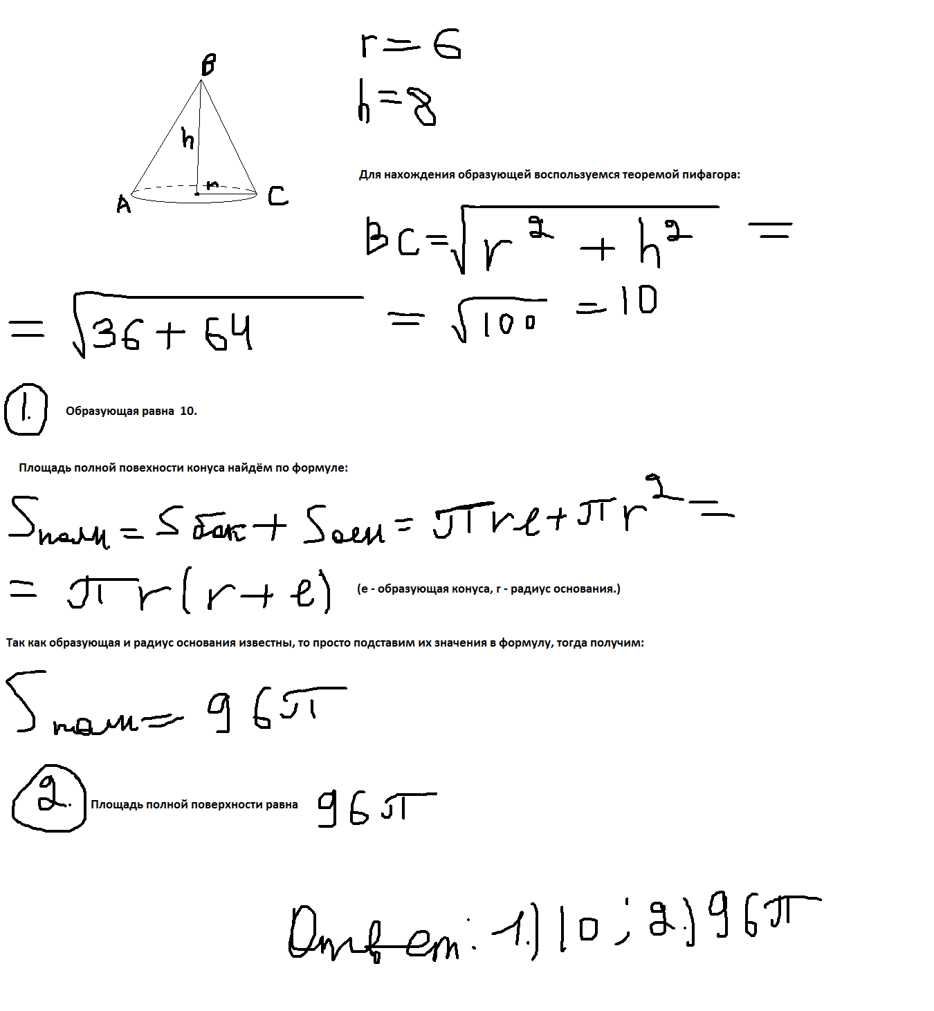
Решение в картинке... Если что не понятно, обращайтесь, разъясню)
Приложения:

Ответ дал:
0
Образующую конуса находим из тр-ка в его вертикальном сечении:
L = √(r²+h²) = √6²+8² = √100 = 10м
площадь поверхности складывается из Sоснования и Sбоковой
Sосн = πr² = 36π
Sбок = πRL = 60π
S = 36π + 60π = 96π кв.м
Приложения:

Вас заинтересует
2 года назад
2 года назад
8 лет назад
10 лет назад
10 лет назад