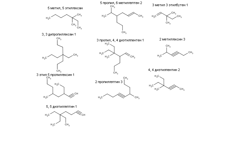
СОСТАВЬТЕ СТРУКТУРНЫЕ ФОРМУЛЫ:
5 метил, 5 этилгексан 2;
3 метил 3 этилбутен 1;
5 пропил, 6 метилгептен 2;
3, 3 дипропилгексан 1;
3 пропил, 4, 4 диэтилпентен 1;
2 метилгексин 3;
3 этил 5 пропилгексин 1;
2 пропилгептин 3;
4, 4 диэтилпентин 2;
5, 5 диэтилгептин 1.
Ответы
Ответ дал:
0
На рисунке сделал формулы. 2 и 3 не по порядку, но надеюсь, что вы разберетесь.
Приложения:

Вас заинтересует
2 года назад
10 лет назад
10 лет назад
10 лет назад