• Предмет: Математика
  • Автор: tikhomirovaira
  • Вопрос задан 10 лет назад

Пооожалуйстаааааааааааа

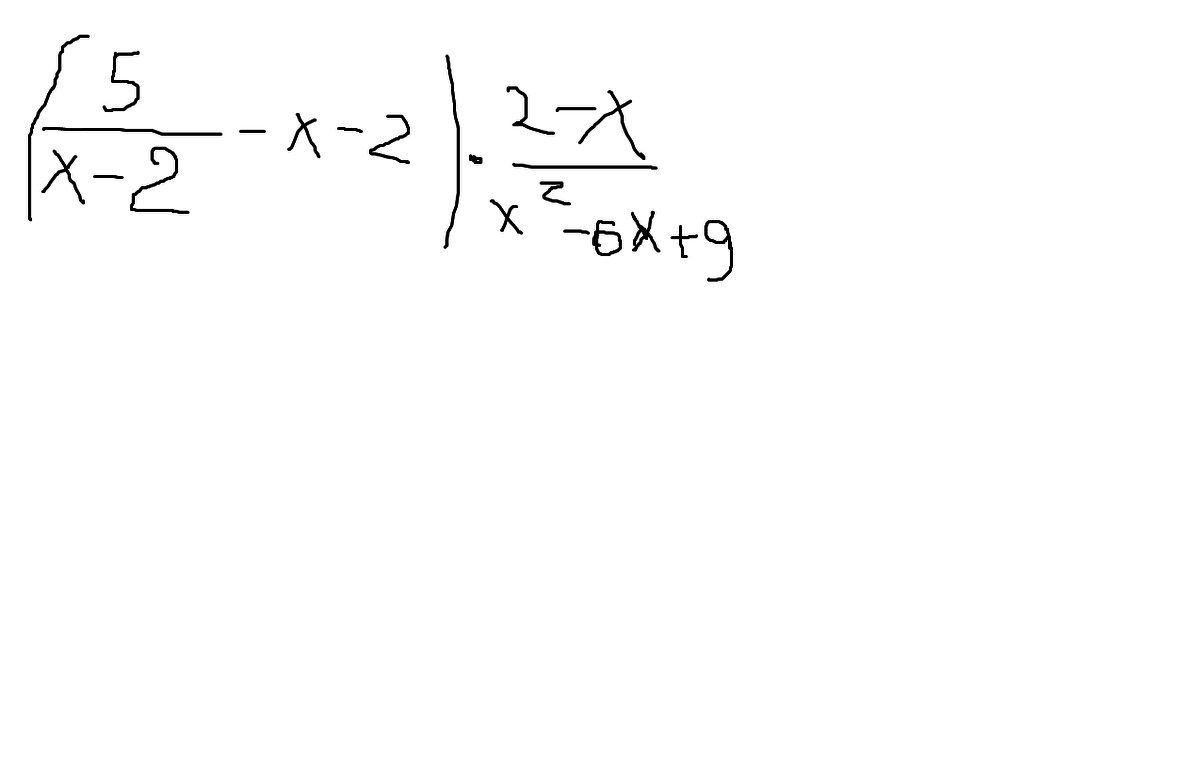
Приложения:

Ответы

Ответ дал: lidusya13
0
(5-х^2-+4)/(х-2)•(2-х)/(х-3)^2=(3-х)(3+х)•(2-х)/(х-2)(х-3)^2=(3+х)/(3-х)
Вас заинтересует