• Предмет: Алгебра
  • Автор: abrolga1996
  • Вопрос задан 10 лет назад

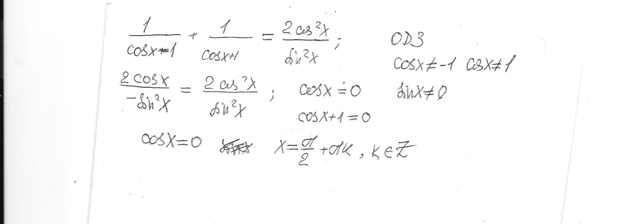
1/cosx-1 + 1/cosx+1 = 2ctg^2x

Ответы

Ответ дал: Гоша68
0
файл с решением ..........................................
Приложения:
Вас заинтересует