• Предмет: Геометрия
  • Автор: RNatalya
  • Вопрос задан 10 лет назад

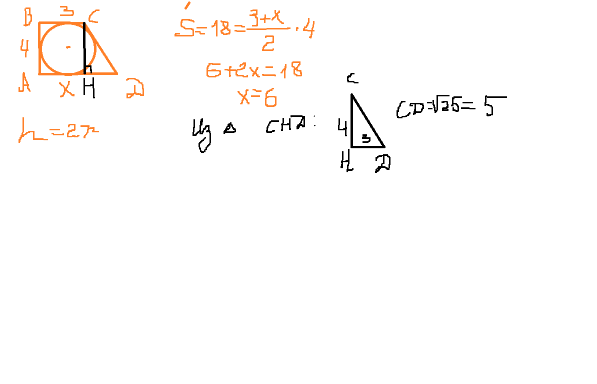
в прямоугольный трапеции верхнее основание равна 3 сантиметра. радиус вписанной окружности равен 2см. площадь равна 18 сантиметров в квадрате. найти длины остальных сторон

Ответы

Ответ дал: an602
0
Смотрите вложенный файл, пояснения короткие, но разберётесь
Приложения:
Вас заинтересует