• Предмет: Алгебра
  • Автор: Аноним
  • Вопрос задан 11 лет назад

Решите пожалуйста и какое из выражений является рациональным!?

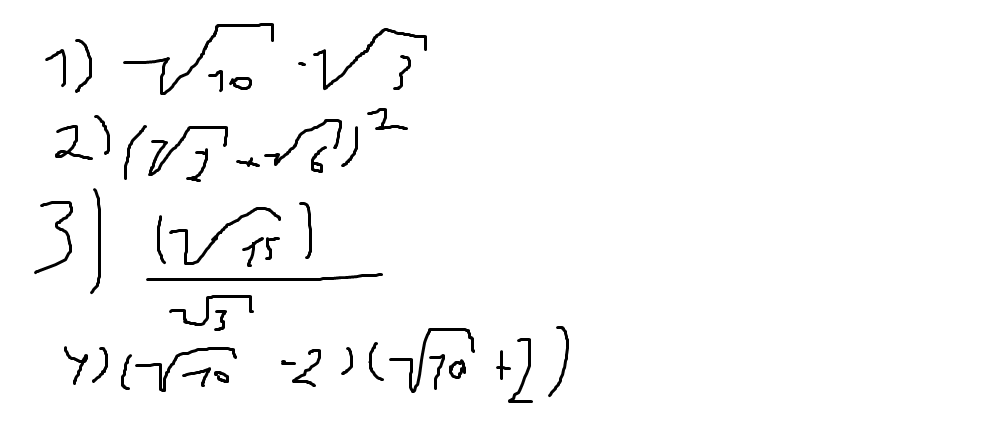
Приложения:

Ответы

Ответ дал: Lora121
0

Рациональным является последнее выражение (sqrt10-2)*(sqrt10+2)=10-4=6

Ответ дал: Аноним
0

Выражение, составленное из чисел и переменных с помощью арифметических операций и возведения в натуральную степень, называется  рациональным выражением.

Каждое из данных выражений в том виде, в котором они представлены, нельзя формально назвать оными, так как они содержат операцию извлечения квадратного корня. Следует помнить, что любое рациональное выражение после выполнения всех необходимых преобразований принимает вид алгебраической дроби, в частности многочлена, в частности одночлена, в частности рационального числа и т.д. Поэтому задание сводится к преобразованию этих выражений.

  Первое из них невозможно преобразовать так, чтобы избавиться от знака радикала.

  С вторым всё обстоит аналогичным образом: (sqrt2 - sqrt6)^2=(sqrt2)^2-2cdot sqrt2cdot sqrt6+(sqrt6)^2=\ =2-4 sqrt3+6=8-4 sqrt3.

  Третье: frac{sqrt15}{sqrt3}=frac{sqrt15cdotsqrt3}{(sqrt3)^2}=frac{3sqrt5}{3} - тоже не подходит.

А вот четвёртое нам подходит: (sqrt10-2)(sqrt10+2)=(sqrt10)^2-2^2=10-4=6 .

Ответ: вариант 4.

  

Вас заинтересует