• Предмет: Алгебра
  • Автор: Beepbeep1amjeep
  • Вопрос задан 11 лет назад

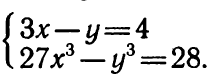
Помогите решить систему

после выпускного ничего не могу решить аахахах

 

Приложения:

Ответы

Ответ дал: cyberx3mal
0

выражаем y из 1 уравнения

3x-y=4

-y=4-3x

y=3x-4

подставляем теперь это во второе уравнение

27x^3 - (3x-4)^3=28

раскрывая скобки получим 

108x^2-144x+36=0

36 (3x^2-4x+1)=0

D=4

x1=1/3

x2=1

 

теперь подставляем значения x1 в 1 уравнение y=3x-4

y=3*1/3-4 

y=-3

 

подставляем значение x2 в 1 уравнение

3*1-4=-1

 

ответ записывается (x1;y1) u (x2;y2)

Ответ: (1/3 ; -3 ) u (1 ; -1)

Ответ дал: Lora121
0

3x-y=4

27x^3-y^3=28

 

3x-y=4

(3x-y)(9x^2+3xy+y^2)=28

Разделим второе уравнение на первое, получим 9x^2+3xy+y^2=7

Из первого уравнения выразим у, получим у=3х-4 и подставим во второе уравнение

9x^2+3x(3x-4)+(3x-4)^2=7

9x^2+9x^2-12x+9x^2-24x+16-7=0

27x^2-36x+9=0

3x^2-4x+1=0

D=16-12=4

x1=1,  x2=1/3

y1=-1,  y2=-3

Ответ: (1, -1),(1/3, -3)

Вас заинтересует