Ответы
Ответ дал:
0
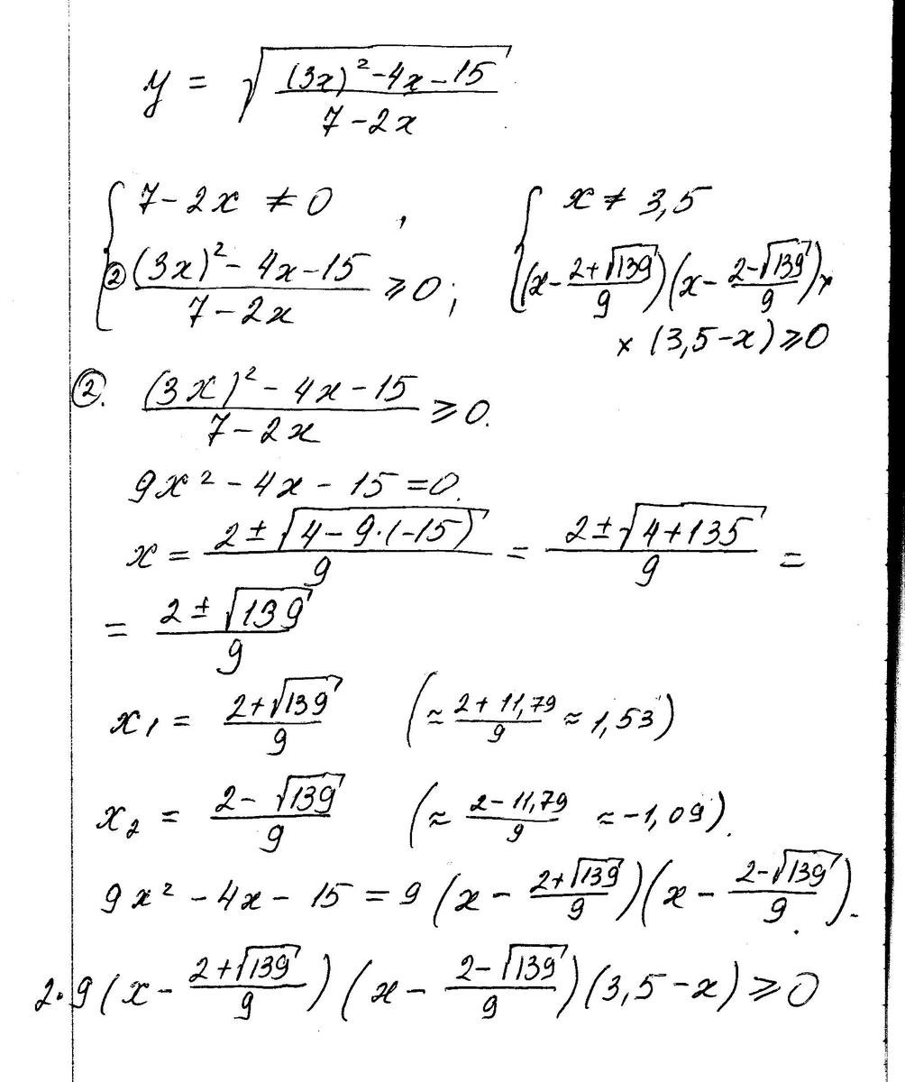
(Вся функция под корнем)
Чтобы найти область определения этой функции, надо учесть два условия:
1) на ноль делить нельзя. Значит нужно найти значение х, при котором знаменатель превращается в ноль и исключить это значение.
2) выражение под корнем должно быть не ортицательным (т.е. ноль или положительным). Для этого подкорневое выражение нужно выразить через множители (для числителя решив квадратное уравнение) и выбрать интервал, где функция удовлетворяет условию 2)
Решение прилагается.
Приложения:


Вас заинтересует
2 года назад
8 лет назад
10 лет назад
10 лет назад
10 лет назад