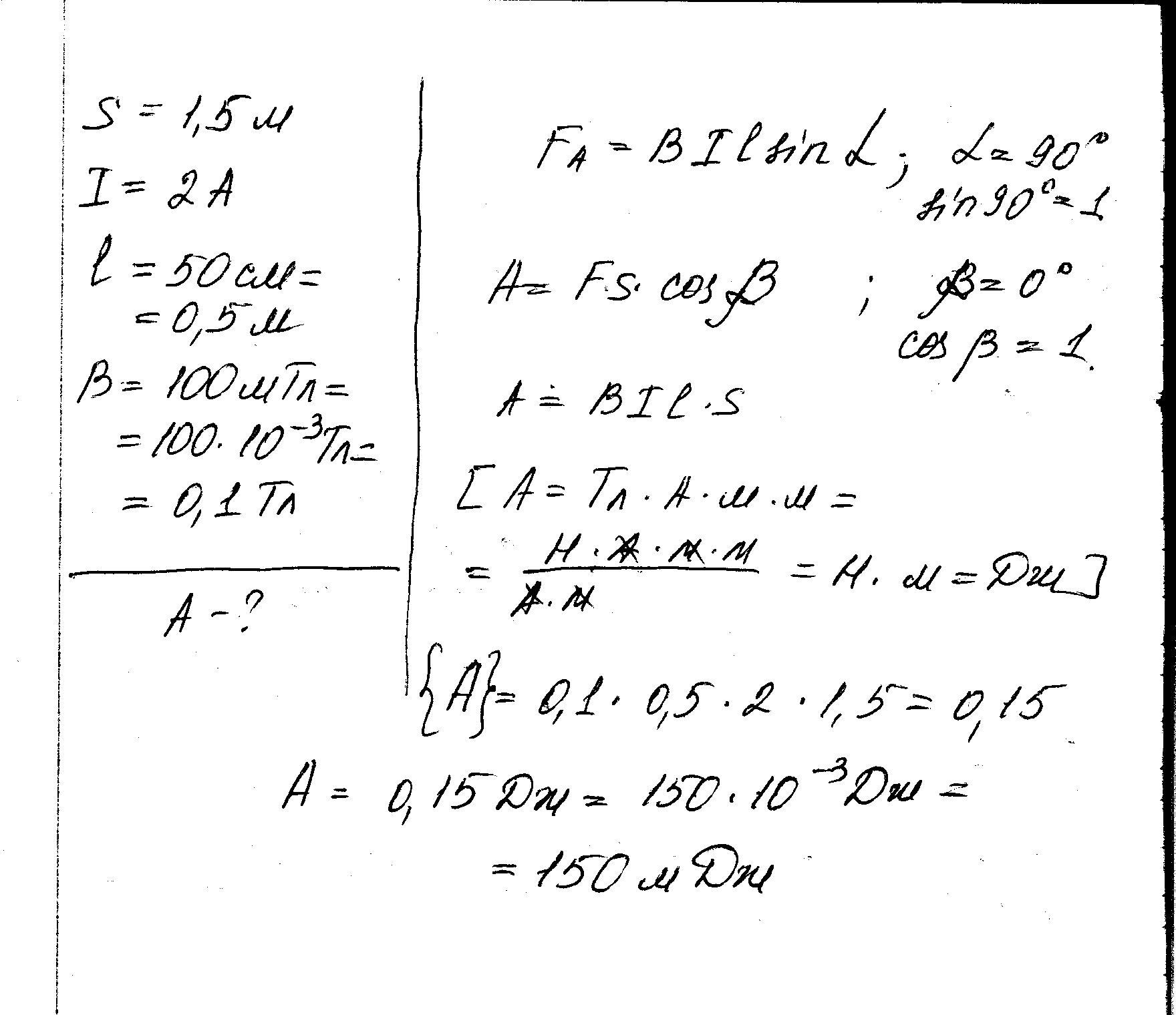
какую работу совершит магнитное поле перемещая прямолинейный проводник с током на расстояние 1.5 м если сила тока в проводнике 2А длина проводника 50см и индукция магнитного поля 100мТл
Ответы
Ответ дал:
0
Работу совершает сила Ампера - сила, которая проводник с током отклоняет в магнитном поле (направление отклонения находится по правилу левой руки). При этом магнитное поле направлено перпендикулярно расположению проводника.
При нахождении работы учитывается угол между направлением силы и направлением перемещения. Они направлены в одном направлении, поэтому угол между ними 0 градусов.
Приложения:

Вас заинтересует
2 года назад
8 лет назад
8 лет назад
10 лет назад
10 лет назад
10 лет назад