• Предмет: Физика
  • Автор: awer123
  • Вопрос задан 11 лет назад

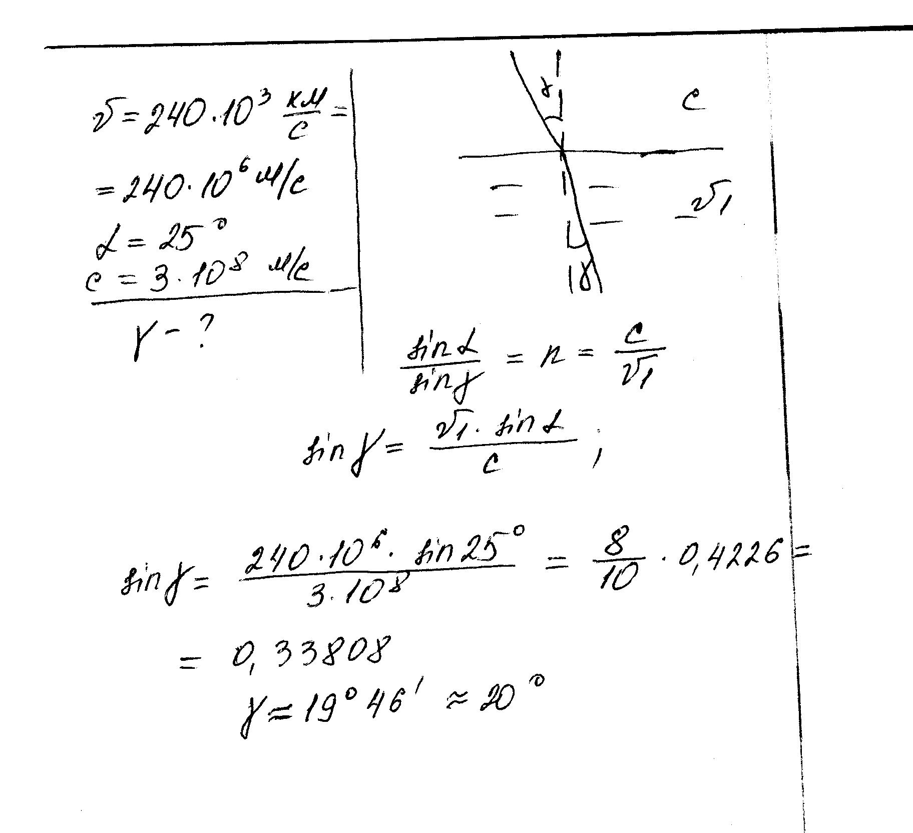
Скорость распространения света в некоторой жидкости равна 240*10^3 км/с.На поверхность этой жидкости под углом 25 градусов из воздуха падает луч.Определить угол преломления луча.

Ответы

Ответ дал: Andriken
0

Показатель преломленя среды показывает во сколько раз скорость света в одной среде (у нас воздух) больше скорости света в другой (у нас в жидкости). Угол преломления и синус 25 градусов находится по таблице Брадиса.

решение прилагается. 

Приложения:
Вас заинтересует