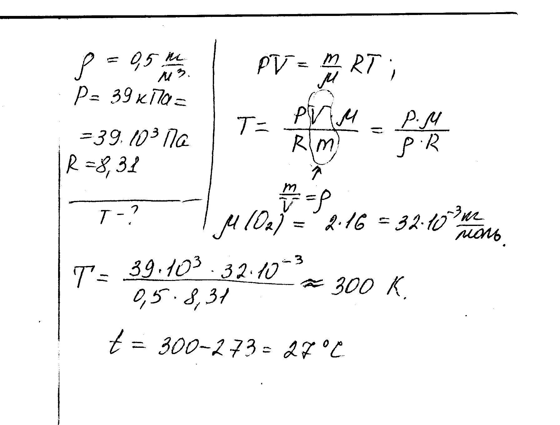
)Плотность молекул кислорода в балоне равна 0,5 кг/м^3, а давление 39 кПа. Чему равна температура в балоне?
Ответы
Ответ дал:
0
Задача на уравнение Менделеева-Клапейрона (уравнение состояния идеального газа). Плотность - это масса делённая на объём. Молекула кислорода состоит из двух атомов кислорода.
Решение прилагается.
Приложения:

Вас заинтересует
2 года назад
2 года назад
8 лет назад
8 лет назад
10 лет назад
10 лет назад
10 лет назад