Два маленьких шарика с одинаковой массой m находятся на большом расстоянии r друг от друга и притягиваются друг к другу с силами,равными по модулю F.Каков модуль сил гравитационного притяжения двух других шариков,если масса каждого их них 2m,а расстояние между ними 2r?
Ответы
Ответ дал:
0
В задаче используется закон Всемирного тяготения. Можно без подсчётов: числитель увеличится в 4 раза (2*2), знаменатель увеличится тоже в 4 раза (2*2), значит модуль силы гравитационного притяжения при таких условиях не измениться.
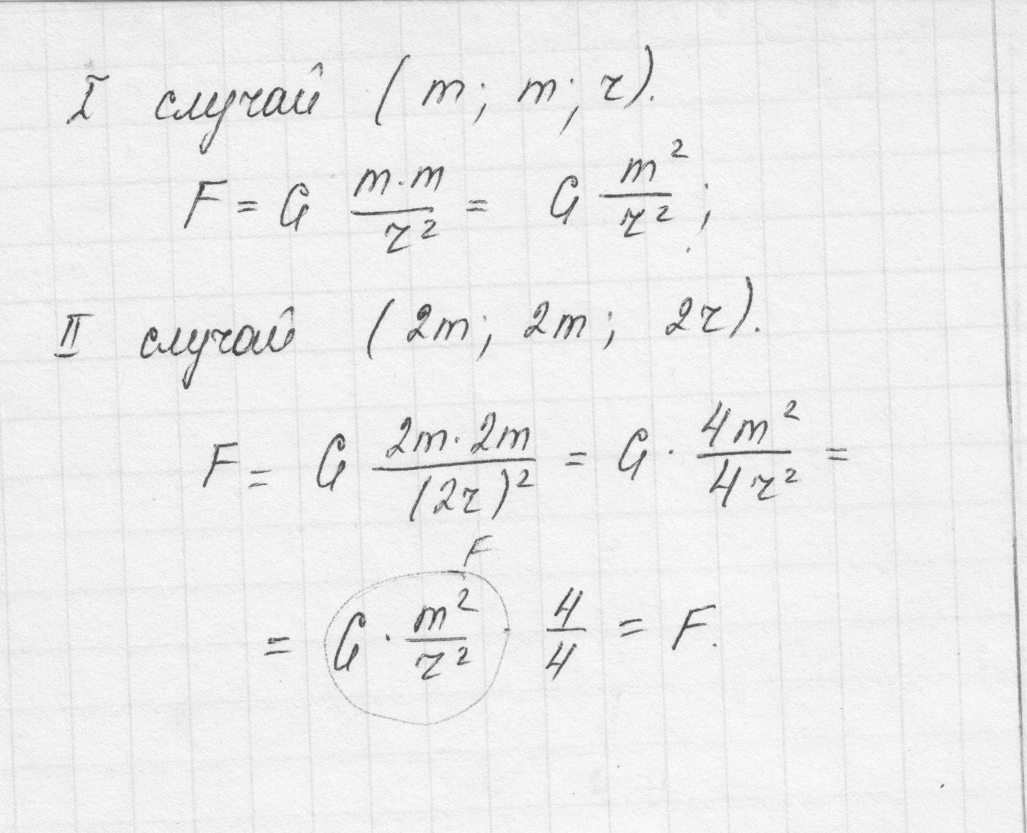
Расчётный вариант решения прилагается.
Приложения:

Ответ дал:
0
F(1)=G*m*m/r^2=G*m^2/r^2
F(2)=G*2m*2m/(2r)^2=4*g*m/4*r^2=G*m^2/r^2
F(1)=F(2)
Приложения:

Вас заинтересует
8 лет назад
10 лет назад
10 лет назад
10 лет назад
10 лет назад