• Предмет: Алгебра
  • Автор: Джигурдец
  • Вопрос задан 11 лет назад

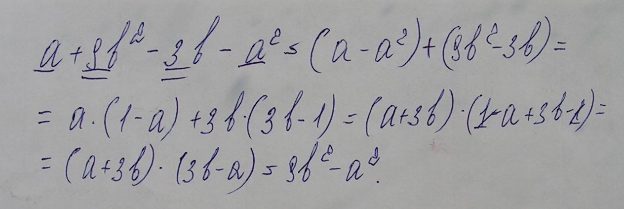
а+9b^2-3b-a^2 объясните суть решения пж

Ответы

Ответ дал: PlatinumBone
0

Привет!) Используй метод группировки, смотри вложения:

 

Приложения:
Ответ дал: Аэроплан
0

a+9b²-3b-a²=a(1-a)+3b(3b-1)=(a+3b)(3b-a)=9b²-a²

Приложения:
Вас заинтересует