• Предмет: Физика
  • Автор: LehaSyh
  • Вопрос задан 11 лет назад

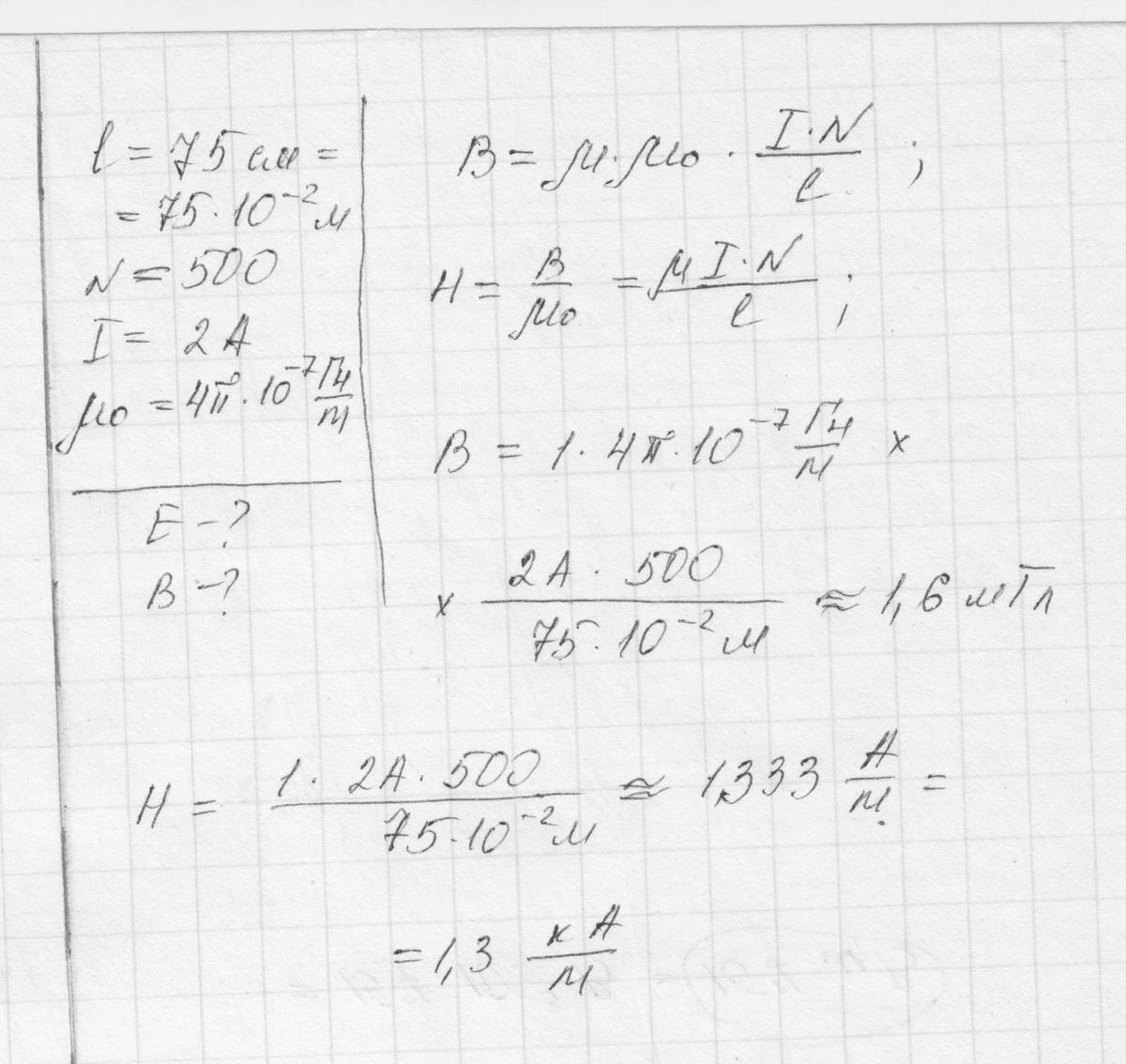
Соленоид длиной 75 см содержит 500 витков провода, по которому протекает  ток 2 А. определить напряженность и индукцию магнитного поля тока внутри соленоида

Ответы

Ответ дал: Andriken
0

Напряжённость и индукция магнитного поля - две силовые характеристики магнитного поля и они взаимосвязаны друг с другом.

Приложения:
Вас заинтересует