• Предмет: Алгебра
  • Автор: Beepbeep1amjeep
  • Вопрос задан 11 лет назад

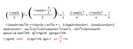
Sin⁴x+sin⁴x(x+π/4)=1/4

помогите не решается

Ответы

Ответ дал: okneret
0

Использованы формулы понижения степени, основное тождество, формулы двойного угла, формулы приведения

Приложения:
Вас заинтересует