Найти работу которую совершить чтобы увеличить скорость движения тела от 2мс до 5мс на расстоянии 10м. На всем пути действует сила трения 2н масса тела 2кг ответ дать в единицах си
Ответы
Ответ дал:
0
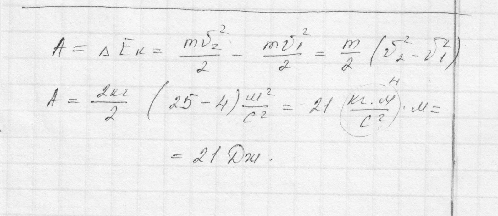
В условии не указано работу какой силы надо найти. Поэтому один вариант решения (через теорему о кинетической энергии), елси интересует результирующая сила (ma), второй вариант (через второй закон Ньютона), если спрашивается всё-таки про работу силы тяги, действующую на тело.
Решения прилагаются.
Приложения:


Вас заинтересует
2 года назад
8 лет назад
8 лет назад
10 лет назад
10 лет назад