• Предмет: Математика
  • Автор: KULLRUS1
  • Вопрос задан 10 лет назад

Помогите.Пожалуйста.

Приложения:

Ответы

Ответ дал: temux
0
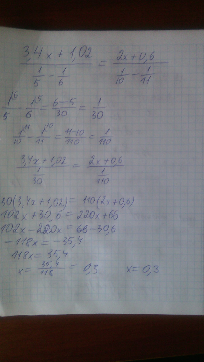
Решение в прикрепленном файле.
Приложения:
Вас заинтересует