• Предмет: Алгебра
  • Автор: russi
  • Вопрос задан 11 лет назад

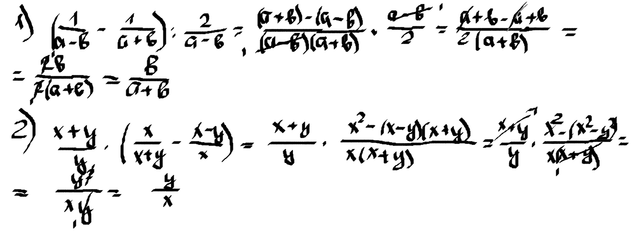
Вычислите:

1)

    1            1          2

(-------- - --------): ----- =

  а-в         а+в       а-в

2) 

х+у      х       х-у

---- * (----- - -----)=

  у       х+у     х

Ответы

Ответ дал: ATLAS
0

1)[1/(a-b) -1/(a+b)]:[2/(a-b)]=

 =[a+b-(a-b)]*(a-b)/[2(a-b)(a+b)]=

 =2b/[2(a-b)]=b/(a+b)

 

2)[(x+y)/y]*[x/(x+y)-(x-y)/x]=

  =[(x+y)/y]*[x^2-(x^2-y^2)]/[x(x+y)]=

  =[1/y]*[y^2/x]=y/x

Ответ дал: Januar
0

решение смотри во вложении.

Приложения:
Вас заинтересует