• Предмет: Алгебра
  • Автор: bilal777
  • Вопрос задан 10 лет назад

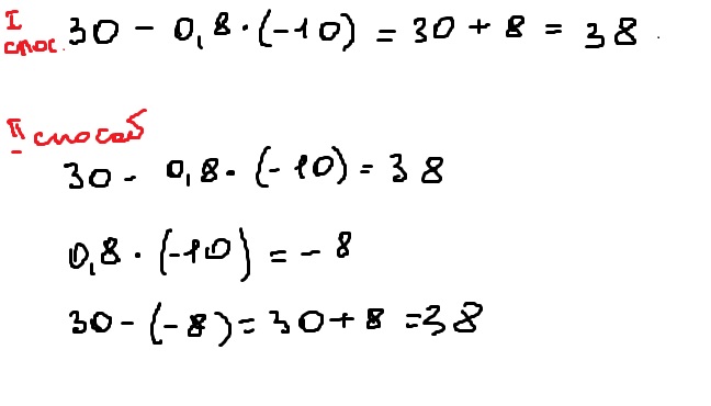
найдите значение выражения 30-0,8×(-10)

Ответы

Ответ дал: ivansky344
0
30+8х
8х=30
х=15/4
х=3,75
Ответ дал: esmilya
0
Если понравилось решение - нажимай "спасибо" и "лучший" (рядом с кнопкой "спасибо") :)
Приложения:
Вас заинтересует