• Предмет: Алгебра
  • Автор: NикITA
  • Вопрос задан 11 лет назад

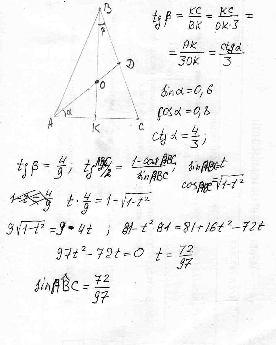
Найти синус угла при вершине равнобедренного треугольника, если известно, медиана, проведенная к боковой стороне составляет с основанием угол. синус который равен 0.6

Ответы

Ответ дал: Гоша68
0

решил проверяйте, sinA=72/97. приношу извинение за неаккуратное  оформление.

Приложения:
Вас заинтересует