Ответы
Ответ дал:
0
х² 2х-10 х² ·(3х+12) х²·3(х+4) 3х²
-------- : ------------= ------------------= -------------------= ----------
х+4 3х+12 (х+4)·(2х-10) (х+4)·2(х-5) 2х-10
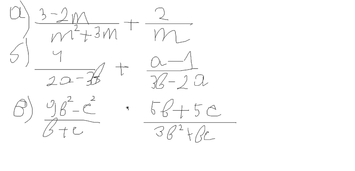
3-2м 2 3-2м 2 3-2м+2м-6 -3
-------- +----------= --------+ -----=-------------------= -----------
м²+3м м м(м+3) м м(м+3) м(м+3)
4 а-1 4 а-1 4-а-1 3-а
----------+ -----------= --------- - ----------= -------------------= --------------
2а-3в 3в-2а 2а-3в 2а-3в 2а-3в 2а-3в
9в²-с² 5в+5с (3в-с)(3в+с)·5(в+с) 5(3в-с)
----------- · --------------= ------------------------------= -----------------
в+с 3в²+вс (в+с)·в(3в+с) в
подчеркнутое надо сокращать!
-------- : ------------= ------------------= -------------------= ----------
х+4 3х+12 (х+4)·(2х-10) (х+4)·2(х-5) 2х-10
3-2м 2 3-2м 2 3-2м+2м-6 -3
-------- +----------= --------+ -----=-------------------= -----------
м²+3м м м(м+3) м м(м+3) м(м+3)
4 а-1 4 а-1 4-а-1 3-а
----------+ -----------= --------- - ----------= -------------------= --------------
2а-3в 3в-2а 2а-3в 2а-3в 2а-3в 2а-3в
9в²-с² 5в+5с (3в-с)(3в+с)·5(в+с) 5(3в-с)
----------- · --------------= ------------------------------= -----------------
в+с 3в²+вс (в+с)·в(3в+с) в
подчеркнутое надо сокращать!
Вас заинтересует
3 года назад
3 года назад
8 лет назад
8 лет назад
10 лет назад