• Предмет: Алгебра
  • Автор: mesron
  • Вопрос задан 11 лет назад

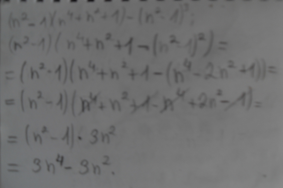
(n^2-1)*(n^4+n^2+1)-(n^2-1)^3

Ответы

Ответ дал: Маруся1313
0

В ответе можно выносить общий множитель 3n² за скобки, а можно и не выносить)

 

Приложения:
Вас заинтересует