Ответы
Ответ дал:
0
Итак.
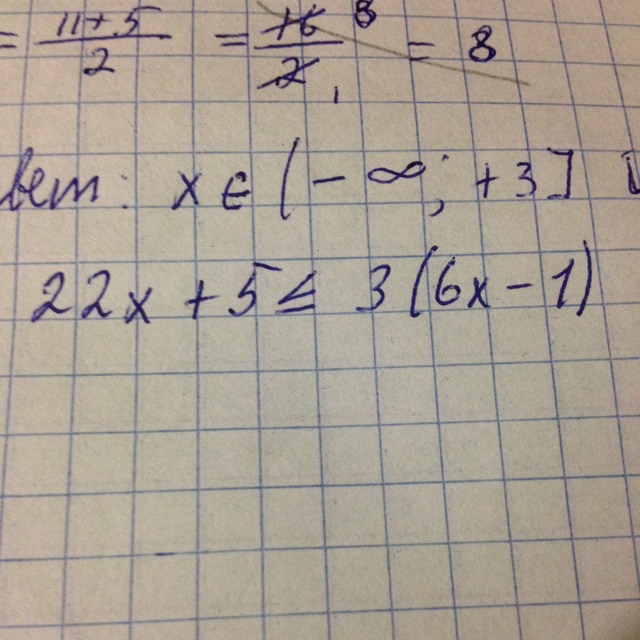
22x+5<3(6x-1)
22x+5<18x-3
22x-18x<-3-5
4x<-8
x<-2
Ответ: х принадлежит (-бесконечности;-2]
P.S.
К знаку "<" везде добавь "меньше или равно". Поэтому интервал и закрытый.
22x+5<3(6x-1)
22x+5<18x-3
22x-18x<-3-5
4x<-8
x<-2
Ответ: х принадлежит (-бесконечности;-2]
P.S.
К знаку "<" везде добавь "меньше или равно". Поэтому интервал и закрытый.
Ответ дал:
0
Да)
Ответ дал:
0
Квадратное - если есть хотя бы один "X" в квадрате.
Вас заинтересует
2 года назад
8 лет назад
8 лет назад
10 лет назад
10 лет назад
11 лет назад