• Предмет: Алгебра
  • Автор: vikkiG
  • Вопрос задан 11 лет назад

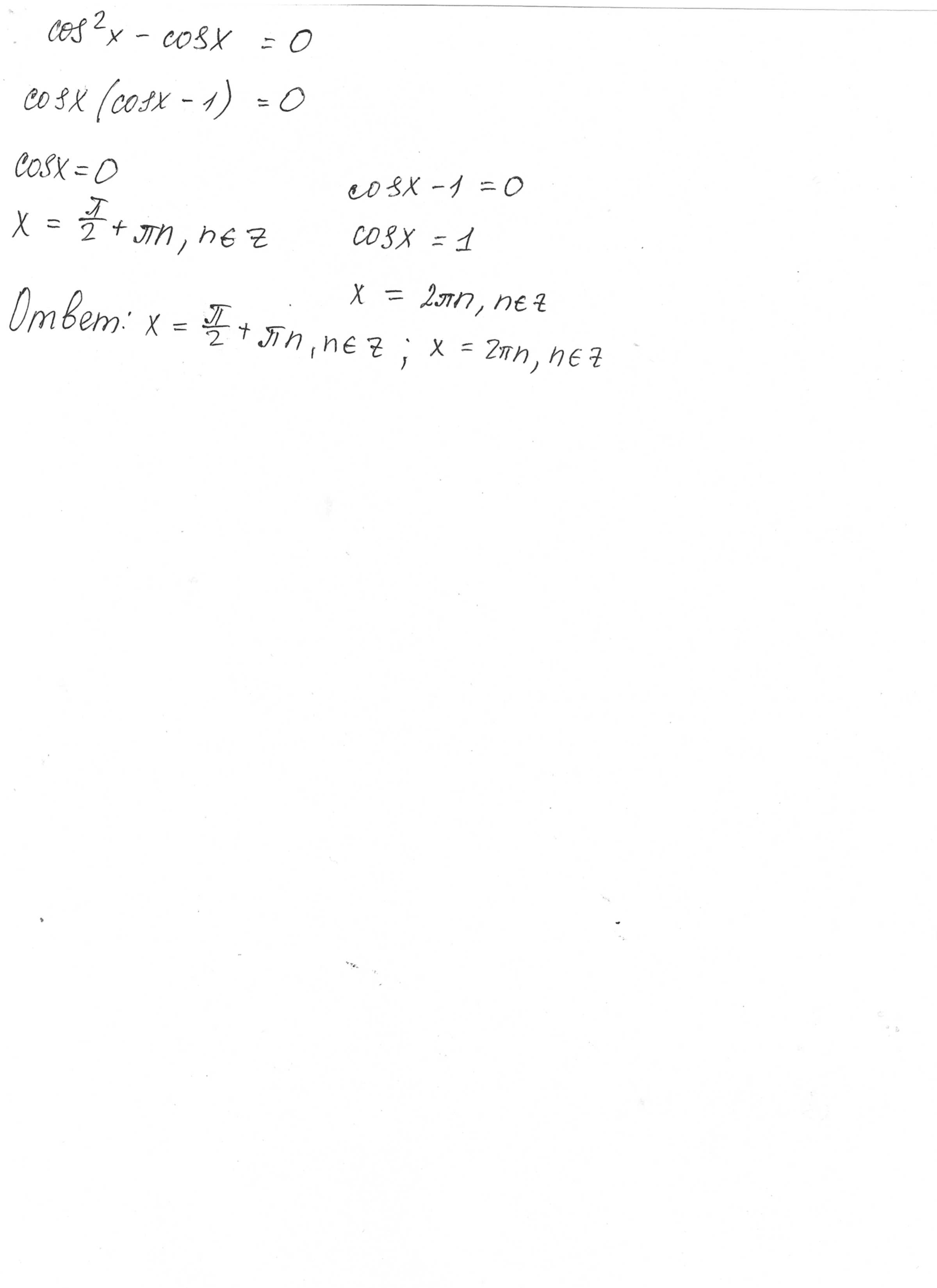
Решите уравнение cos^2x-cosx=0

Ответы

Ответ дал: Гоша68
0

cosx(cosx-1)=0

cosx=0 x=П/2(2k+1)

cosx=1

x=2Пk

Ответ дал: AliyaAuezova
0

тригонометрические уравнения

Приложения:
Вас заинтересует