• Предмет: Геометрия
  • Автор: katy2635
  • Вопрос задан 11 лет назад

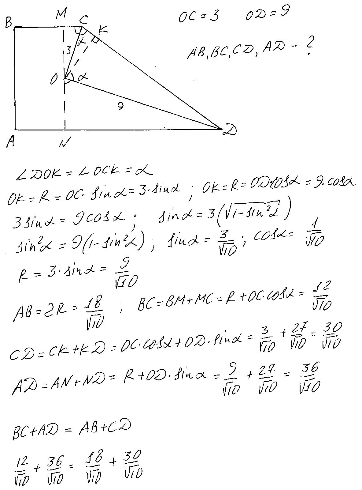
Центр окружности вписанной в прямоугольную трапецию удален от концов ее боковой стороны на расстояния 3 и 9 см.найти стороны трапеции

Ответы

Ответ дал: Fatter
0

Из центра окружности О проведём радиусы ОМ, ОК, ОN.(смотри рисунок).  При этом ОК перпендикулярна СД. Треугольники МОС и СОК равны как прямоугольные с общей гипотенузой ОС и катетами ОМ и ОК равными R.  Аналогично равны треугольники NОД и КОД. Следовательно против равных сторон у них лежат равные углы тогда ОС и ОД будут гипотенузами углов С и Д соответственно. Углы ОСД и КОД равны. Поскольку угол ВСД=180-угол АДС, тогда угол ОСД=(180-угол АДС)/2=90-(угол АДС)/2=90-угол КДО. А это и есть угол КОД. Далее смотри рисунок.В конце проверено свойство трапеции в которую вписана окружность. Что подтверждает правильность решения. Кстати угол СОД для подобной трапеции всегда будет равен 90 при любых R. Поскольку угол МОN=180 и  состоит из четырёх попарно равных углов. То есть угол МОС+уголNОД=уголСОК+уголКОД=90. Тогда можно СД найти по теореме Пифагора ОСквадрат+ОДквадрат=9+81=90. Отсюда СД=корень из90=3 корня из 10 или 30/(корень из 10).

Приложения:
Вас заинтересует