Найдите действительные значения переменной х, при которых имеет смысл данное выражение.
Приложения:

Ответы
Ответ дал:
0
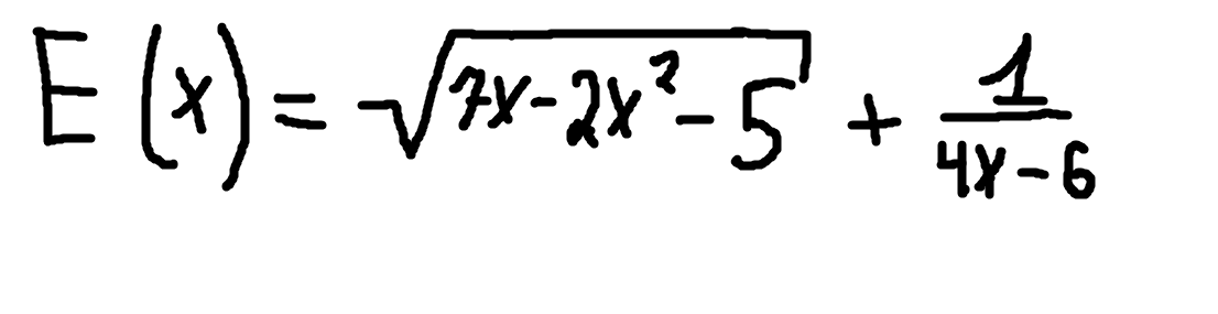
знаминатель дроби не может быть равен 0
4x-6<>0 x<>1,5 (1)
подкоренное выражение должно быть больше или равно 0
7x-2x^2-5>=0 умножаем на -1 и меняем знак неравенства
2x^2-7x+5<=0 решаем уравнение 2x^2-7x+5=0 корни 1 и 2,5
1<=x<=2,5
учитывая (1)
1<=x<1.5 U 1,5<x<=2,5
Ответ дал:
0
4x-6≠0; x≠1,5;
7x-2x²-5≥0;
2x²-7x+5≤0;
{2x²-7x+5=0};
x₁=1;
x₂=2,5;
1≤x≤2,5;
x≠1,5;
1≤x<1,5 ∧ 1,5<x≤2,5.
Вас заинтересует
2 года назад
2 года назад
8 лет назад
8 лет назад
10 лет назад
10 лет назад
10 лет назад