Ответы
Ответ дал:
0
х^3-7х+6
х(Х^2-7)+6
(x^2-7)(x+6)
х(Х^2-7)+6
(x^2-7)(x+6)
Ответ дал:
0
нет
Ответ дал:
0
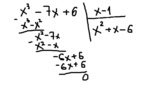
x^3-7x+6=(x-1)(x^2+x-6)=(x-1)(x-2)(x+3)
сначала замечаем, что один из корней уравнения x^3-7x+6=0 это х=1
поэтому столбиком делим выражение x^3-7x+6 на х-1
получаем (x^2+x-6) - а это также раскладываем на множители (корни легко по теореме виета находятся х=2 и х=-3 )
сначала замечаем, что один из корней уравнения x^3-7x+6=0 это х=1
поэтому столбиком делим выражение x^3-7x+6 на х-1
получаем (x^2+x-6) - а это также раскладываем на множители (корни легко по теореме виета находятся х=2 и х=-3 )
Приложения:
Вас заинтересует
3 года назад
3 года назад
8 лет назад
8 лет назад
11 лет назад