Ответы
Ответ дал:
0
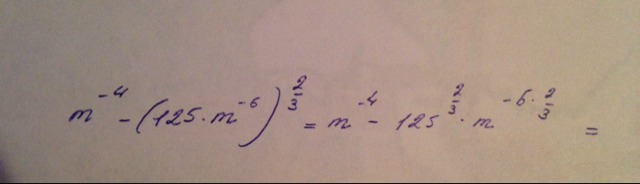
125=5^3
m^-4 -(5^3)^2/3•m^-4=m^-4-25m^-4=-24/m^4
m^-4 -(5^3)^2/3•m^-4=m^-4-25m^-4=-24/m^4
Вас заинтересует
3 года назад
3 года назад
8 лет назад
8 лет назад
10 лет назад
10 лет назад
11 лет назад
11 лет назад