• Предмет: Алгебра
  • Автор: 6ie
  • Вопрос задан 10 лет назад

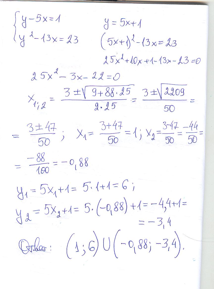
Решить систему уравнений: y-5x=1 y2-13x=23

Ответы

Ответ дал: konst92
0
Лови в приложенном файле.
Приложения:
Ответ дал: 6ie
0
плиз решение напиши
Ответ дал: 6ie
0
поооооооооооооооомоги
Вас заинтересует