• Предмет: Геометрия
  • Автор: 4аа
  • Вопрос задан 11 лет назад

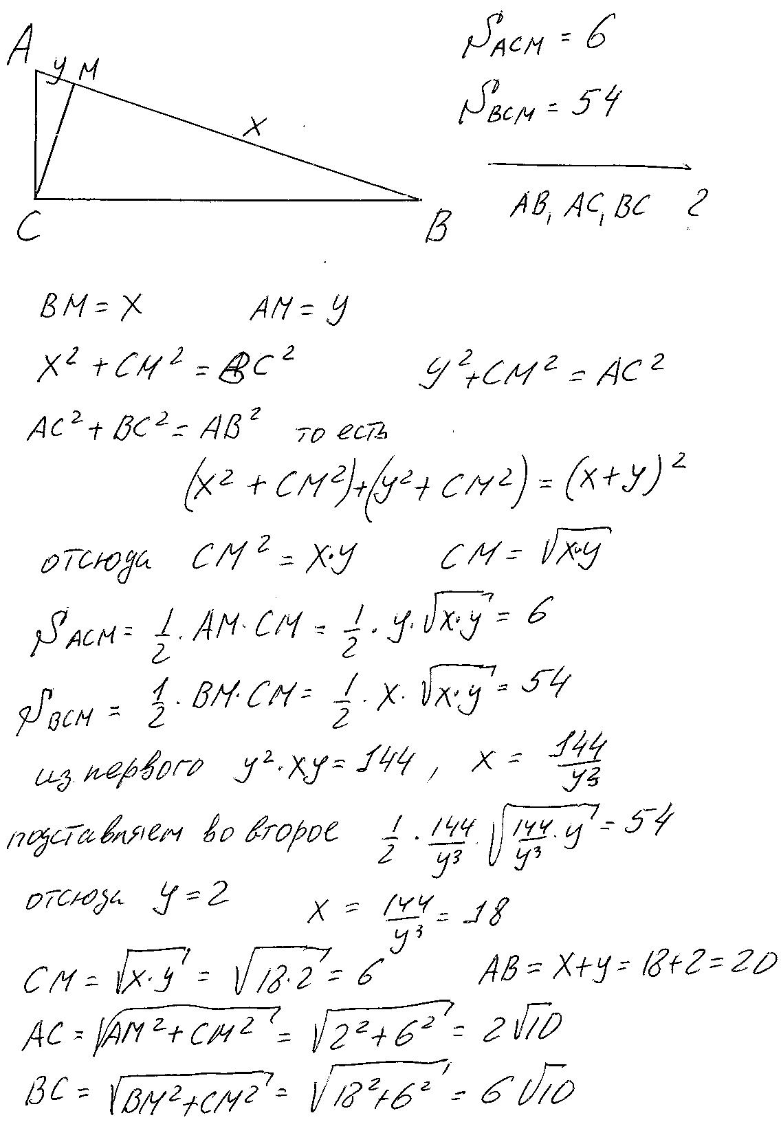
в прямоугольном треугольнике АВС к гипотенузе АВ проведена высота СМ.Площадь треугольника АСМ равна 6 см квадратных,а площадь треугольника ВСМ - 54 см квадратных.Найдите стороны треугольника АВС

Ответы

Ответ дал: Fatter
0

Здесь всё по теореме Пифагора(смотри рисунок).

Приложения:
Вас заинтересует