Ответы
Ответ дал:
0
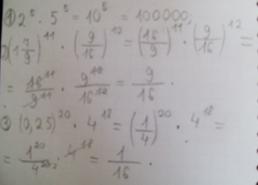
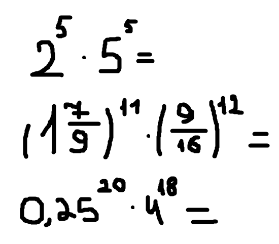
2^5*5^5=10^5=100000
(16/9)^11*(9/16)^12=9/16
0,25^20*4^18=(1/4)^20*(1/4)^18=0,625
Ответ дал:
0
откройте вложение, там написано решение данного задания.
Приложения:

Вас заинтересует
2 года назад
2 года назад
8 лет назад
8 лет назад
10 лет назад