• Предмет: Алгебра
  • Автор: linala
  • Вопрос задан 11 лет назад

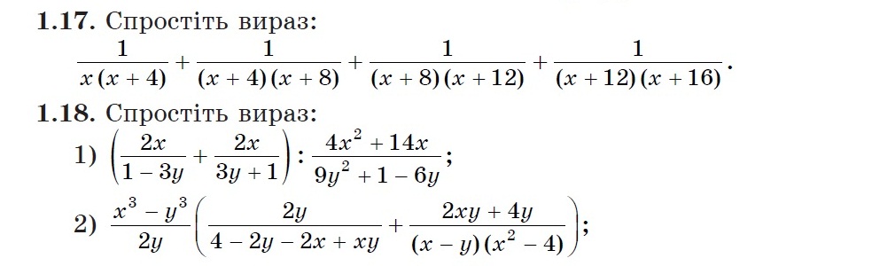
решите пожалуйста задание на картинке только 1.18

Приложения:

Ответы

Ответ дал: Маруся1313
0

откройте вложение, там написано решение данного задания.

Приложения:
Вас заинтересует