• Предмет: Геометрия
  • Автор: garincha123
  • Вопрос задан 11 лет назад

биссектриса прямого угла прямоугольного треугольника равна 24√2 и делит гипотенузу на отрезки в отношении 3:4. Вычислить периметр треугольника.

Ответы

Ответ дал: temichpro
0

Начнём. По свойству, биссектриса внутреннего угла делит противолижащию сторону на отрезки, пропорциональные прилегающим сторонам. Вот у нас биссектриса делит гипотенузу в отношении 3:4. Тогда, стороны (назовём их а и b) также относятся: a:b=3:4. Пусть один отрезок гипотенузы будет равен 3х, тогда второй отрезок - 4х. Пусть сторона а=3у, тогда b=4у. Гипотенуза (назовём её с) = 3х+4х = 7х. По теореме Пифогара: a^2+b^2=c^2  <=> 

9y^2+16y^2=49x^2

25y^2=49x^2

5у=7х

х=5/7*у

P (периметр)=a+b+c=4у+3у+7х=7у+5у=12у. Осталось найти у.

Назовём треугольник ABC, угол С - прямой. СМ - биссектриса. Биссектриса делит угол пополам, значит, угол АСМ = 45гр.

Рассмотрим треугольник АСМ, по теореме косинусов:

с^2=a^2+b^2-2*a*b*cosC  (Любая сторона треугольника равна сумме квадратов её двух других сторон без (минус) удвоенного произведения этих сторон на косинус угла между ними.)

с=АМ, АМ=4х=4*5/7*у=20/7*у

(20/7*у)^2=(4y)^2+(24√2)^2-2*4y*24√2*cos45гр   (cos45гр=√2/2)

400/49*y^2=16y^2+1152-192y

384/49*y^2-192y+1152=0

Решаем это квадратное уравнение:

a=384/49, b=192, c=1152

                 k=96

y1=(-k-√(k^2-a*c))/a            y1=считать не надо, так как он будет отрицательный, а нам нужен положительный корень

y2=(-k+√(k^2-a*c))/a           y2=14

P=12*14=168

Ответ: 168.

 

Ответ дал: Fatter
0

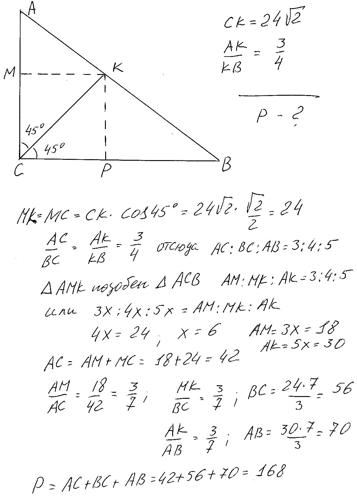
По свойству биссектрисы, катеты относятся как 3:4, а это египетский треугольник с соотношением сторон 3:4:5. Проводим МК параллельно ВС(смотри рисунок), получим подобные треугольники АМК и АСВ с одинаковым соотношением сторон. Пусть единица пропорции=Х. Отсюда, зная МК, находим АМ и АК,затем АС=42, дальше из подобия треугольников находим ВС=56 и АВ=70. Ответ р=168.

Приложения:
Вас заинтересует