Ответы
Ответ дал:
0
РЕШЕНИЕ СИСТЕМЫ x=1 y=3 z=4
Приложения:

Ответ дал:
0
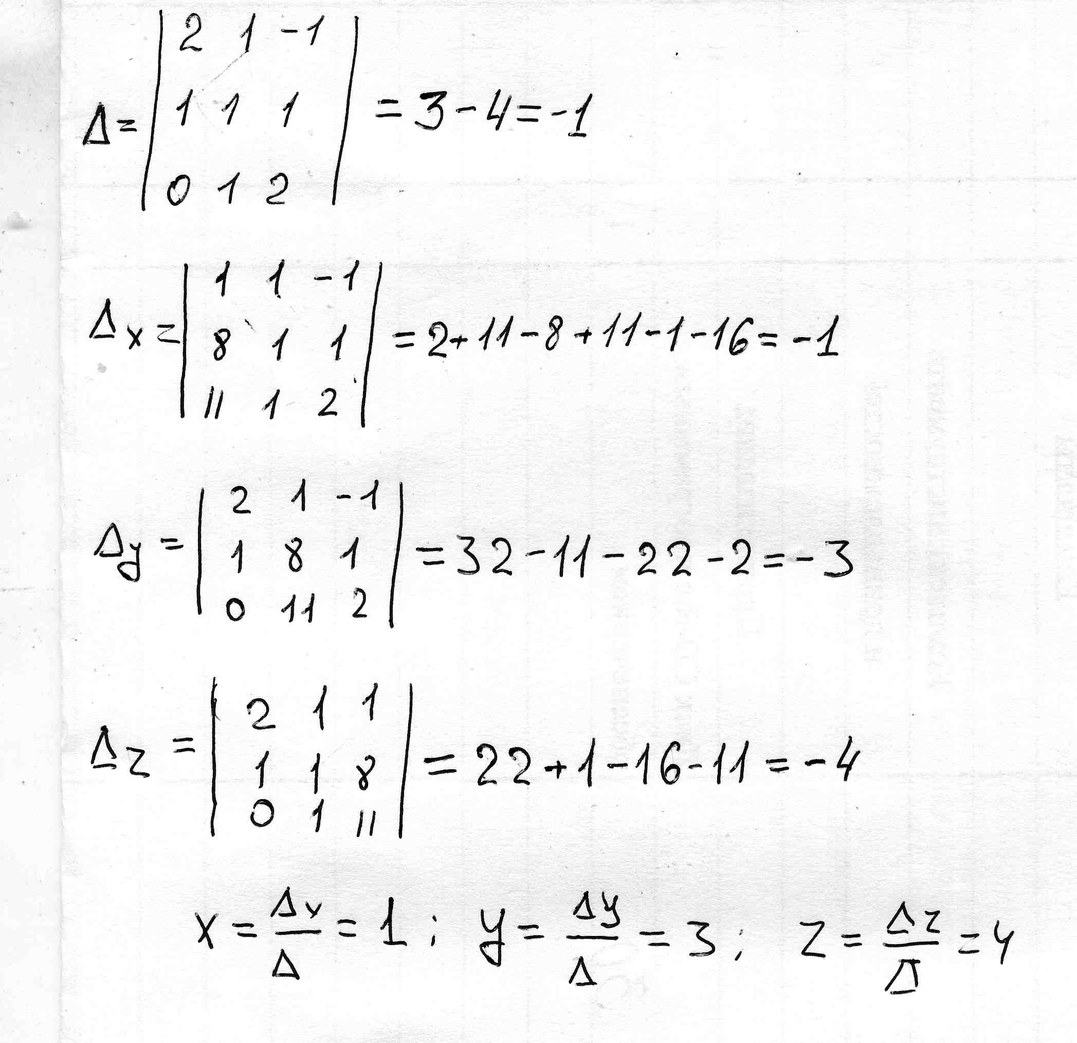
Впервые решаю Методом Крамера, но интернет знает все, и я уже прочитал о нем.)
2 1 -1
Δ=1 1 1 =3-4=-1
0 1 2
1 1 -1
Δ₁=8 1 1 =2+11-8+11-1+16=-1
11 1 2
2 1 -1
Δ₂=1 8 1 =32-11-22-2=-3
0 11 2
2 1 1
Δ₃=1 1 8 =22+1-16-11=-4
0 1 11
х=-1/-1=1;
у=-3/-1=3;
z=-4/-1=4.
Проверка:
2+3-4=1;
1+3+4=8;
3+8=11.
Ответ: х=1; y=3; z=4.
Приложения:

Вас заинтересует
2 года назад
2 года назад
8 лет назад
8 лет назад
10 лет назад
10 лет назад
10 лет назад